728x90
퍼셉트론이란?
- 인공 뉴런이라고도 한다.
- 뇌과학에서는 신경으로 들어오는 일정한 자극, 신경망에서는 feature(특성)가 된다.
- 입력된 신호(특성)는 어떠한 흐름을 타면서 처리가 된다.
- 처리가 완료가 되면 거기에 대한 결과가 퍼셉트론의 출력이 된다.
y={0(w1x1+w2x2≤θ)1(w1x1+w2x2>θ)
w1x1+w2x2의 결괏값이 임의의 임계점 (θ)를 넘지 못하면 0, 넘으면 1이 된다.
이러한 수식을 반응 조건 계산식 이라고 합니다.


θ를 기준으로 w1x1+w2x2의 결과가 0 또는 1로 결정지어진다. 이걸 함수로 일반화 시켜서 어떤 상황에서든 수식을 사용할 수 있도록 일반화 시켜보기
- 원래 수식
- y={0(w1x1+w2x2≤θ)1(w1x1+w2x2>θ)
- 바뀐 수식
- y={0(w1x1+w2x2−θ≤0)1(w1x1+w2x2−θ>0)
- 일반화된 함수 지정하기
- z=w1x1+w2x2−θ
- y={0(z≤0)1(z>0)
- u(z)={0(z≤0)1(z>0)
- 함수u 는 단위 계단 함수
- y=u(z)

계단 함수 $u$의 결과($y$)에 따라서 항상 0 또는 1만 가지게
된다.
- y=u(w1x1+w2x2−θ)
- z=w1x1+w2x2−θ
- y=u(z)
계단 함수 u의 결과(y)에 따라서 항상 0 또는 1만 가지게 된다.
단층 퍼셉트론, 다층 퍼셉트론
- 단층 퍼셉트론의 한계
- 다층 퍼셉트론의 장점
AND 게이트
- 입력값 두개가 모두 1이어야만 결과물이 1이 됩니다.

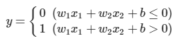
편향(bias) 개념을 도입
수식에 음수가 있으면 표현하기 까다롭기 때문에 θ를 −b로 표현

퍼셉트론은 입력 신호에 가중치를 각각 곱한 값과 편향(bias)을 합하여 그 값이 0이 넘으면 1로, 0을 넘지 않으면 0으로 출력할 수 있도록 일반화


가중치와 편항에 대한 의미
- 가중치 : 입력값에 대한 중요도
- 각각의 입력값이 출력값에 얼마나 영향을 미치게 할 것인가?
- 가중치가 크다 : 입력값이 출력값에 영향을 많이 미친다.
- 가중치가 작다 : 입력값이 출력값에 영향을 많이 미치지 않는다.
- 각각의 입력값이 출력값에 얼마나 영향을 미치게 할 것인가?
- 편향 : 퍼셉트론이 얼마나 쉽게 활성화가 되는가를 결정해 준다.
- 활성화 : 퍼셉트론의 결과물이 1이 되면 활성화가 됐다고 합니다.
- 편향이 크면 퍼셉트론의 흥분도가 커져서 쉽게 활성화가 된다. (민감한 퍼셉트론)
- 편향이 작으면 퍼셉트론의 흥분도가 낮아져서 활성화가 잘 안된다. (둔감한 퍼셉트론)



728x90