728x90
신경망의 등장
다층 퍼셉트론은 단층 퍼셉트론으로는 계산 할 수 없는 복잡한 함수들을 표현할 수 있다. 다층 퍼셉트론을 층처럼 겹겹이 쌓은 것을 인공 신경망(Artificial Neural Network)
활성화 함수
- 인공 신경망의 퍼셉트론을 유닛, 노드, 뉴런이라고 표현
- 퍼셉트론의 결과물은 0 또는 1로만 출력 되는 것
- 0이나 1 뿐만이 아닌 유닛이 다양한 계산을 할 수 있게끔 값을 조정해 주는 것이 활성화 함수

함수 a를 활성화 함수(Activation Function)라고 하며, 각 입력값에 대한 활성화 함수를 적용시켜 최종적으로 y값이 결정지어지게 된다.
우리가 여기서 배울건??
단순하게 0과 1로만 표현하는 계단 함수 u를 넘어서,다양한 값( 실숫값 )으로 표현이 가능한 활성화 함수를 배운다.
뉴런이 값을 다양하게 표현한다는 것의 의미(비선형 활성화 함수를 사용하는 이유)
- 왜 계단 함수 같은 선형 함수는 활성화 함수로 사용하지 않는가?
- 예를 들어 활성화 함수가 a(z)=cz(c는상수)
- 층을 여러 개(3층) 쌓게 되면? y=a(a(a(z)))
- 이는 y=c3z 로 표현이 가능함
- 몇 층을 쌓아도 단순하게 상수에 z를 곱한 형식으로 표현이 됨
- 뉴런을 겹겹이 쌓는 의미가 사라진다.
- 비선형 함수를 사용하게 되면?
- 값의 표현이 다채로워 진다.
- 층을 쌓거나, 다른 활성화 함수를 사용했을 때 뉴런의 표현(뉴런의 출력)이 다채롭게 된다.
활성화 함수 #1 시그모이드(σ)
- σ는 어떠한 값이 들어오든 항상 0보다 크고 1보다 작은 실수를 출력한다.
- 값이 무한대로 커질 수록 1에 가까워 지지만, 절대 1이 되진 않는다.
- 값이 무한대로 작아질 수록 0에 가까워 지지만, 절대 0이 되진 않는다.

시그모이드 함수의 의미
- 뉴런의 연산에서는 입력 신호의 출력 강도(세기)를 의미한다.
- 다음 층에 얼마나 강하게 값을 넘길 것인가.
- 계단 함수는 단순하게 활성화가 된다(1), 안된다(0)
- 시그모이드 함수는 이 만큼 강하게 활성화가 된다( 1에 가까운 실수 ), 이 만큼 약하게 활성화가 된다( 0에 가까운 실수 )
- 출력 (결과물 출력 - 예측) 에서는 0 또는 1이 될 확률을 의미 한다.
- 0.5를 기준으로 0.5보다 작으면 0으로 분류될 확률이 크다 라는 것을 의미
- 0.5를 기준으로 0.5보다 크면 1로 분류될 확률이 크다 라는 것을 의미 합니다.
- 예를 들어 시그모이드의 출력이 0.4
- 1로 분류될 확률이 40%
- 0으로 분류될 확률이 60%

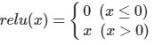
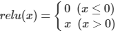
활성화 함수 #2 ReLU(Rectified Linear Unit)
- 이미지 처리에 주로 사용되어지는 함수
- 최근에는 다양한 분야에서도 효과를 발휘한다고 알려져 있다.
- 이미지 처리를 위한 CNN 알고리즘과 찰떡궁합인 함수
- 입력값이 0을 넘으면 그 입력을 그대로 출력, 0 이하면 0을 출력하는 함수


ReLU를 사용하는 이유
- 최근에는 시그모이드 보다는 비선형 직선을 여러 개 연결하는 ReLU를 더 많이 사용하는 추세
- σ는 곡선함수라서 연산 비용( CPU나 GPU의 연산 )이 많이 들어간다.
- 따라서 필요에 따라 ReLU를 여러 개 붙여서 사용 하는 것이 도움이 될때가 많다.
- 물론 데이터에 따라서 종류나 특징에 따라 성능은 달라진다.
- 이미지 처리에서 ReLU를 사용하는 이유
- 이미지는 항상 0 ~ 255 까지의 정수로 이루어져 있다. (채널의 픽셀 값)
- 이미지도 신경망의 연산(WX+b)에 따라서 실수의 형태로 출력이 되게 된다.
- 연산에 의해서 실수화가 되다 보니 음수값이 등장하기 시작한다.
- 하지만 이미지에서는 음수 데이터는 사용하지 않는 데이터 이기 때문에, 음수로 연산된 데이터를 0으로 만들어서 연산의 부담을 줄여준다.
- 결론적으로 결과물을 증폭시키는 양수 데이터만 사용하게 되어, 필요 없는 부분은 생각하지 않고, 이미지 처리에 필요한 부분만 생각하게 된다.
활성화 함수 #3 하이퍼볼릭 탄젠트(tanh)
- 텍스트 처리에 주로 사용되어지는 활성화 함수
- 시그모이드와 비슷한 모양이지만, -1 ~ 1 사이의 값으로 출력

728x90